罗浮防爆电机罗浮防爆电机
浙江永嘉罗浮防爆电机厂
永嘉罗浮防爆电机厂 >> 隔爆型三相异步电动机 >> 防爆电机:变频调速三相异步电动机性能参数

防爆电机:变频调速三相异步电动机性能参数

 

防爆电机:变频调速三相异步电动机
 
产品系列:YVP
 
变频调速三相异步电动机概述:
YB2系列隔爆型变频调速三相异步电动机适用于煤矿井下(非采掘工作面)及工厂含有爆炸性气体混合物的作业场所作电力拖动用,电动机与变频装置相配套,通过改变频率而调速,电动机调速范围广,在开环U/f控制的条件下,6~50HZ恒转矩调速,50~100Hz为恒功率调速,在矢量控制的条件下,调速范围还可以扩大,过载能力强,能够承受额定转矩的160%过载,历时1min。YVP
变频调速三相异步电动机应用于轻工、纺织、化工、石油、台金、机床、水泵等行业。两个系列电动机电气性能相同,后部增加独立冷却风机,YB2系列隔爆型变频调速三相异步电动机安装尺寸与YB2系列电动机相同,YVP系列变频调速三相异步电动机安装尺寸与Y2系列电动机相同。
YB2系列隔爆型变频调速三相异步电动机的防爆性能符合GB3836.1-2000《爆炸性气体环境用电气设备第1部分:通用要求》和G83836.2-2000《爆炸性气体环境用电气设备第2部分:隔爆型“d”》标准的规定,分别制成隔爆型ExdⅠ、ExdⅡBT4。
 
变频调速三相异步电动机主要技术参数:
1.额定电压:380V、660V、1140V
2.额定频率:50Hz
3.防护等级:IP55
4.冷却方式:IC411
5.工作制:S1
6.绝缘等级:F
7.安装形式:IMB3、IMB5、IMB35等
 
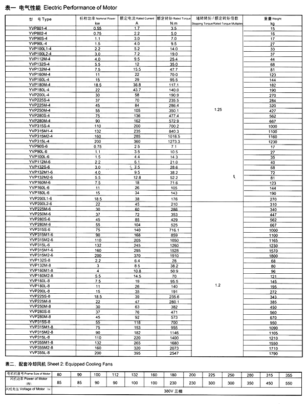
变频调速三相异步电动机电动机的电气性能:
本系列的电动机的电气性能见表一
 
变频调速三相异步电动机配套冷却风机型号:
本系列电动机的配套冷却风机见表二